扫地僧站群提供技术支持

焕章信息网

  • 首页
  • 百科
  • 知识
  • 科普
  • 生活
  • 热点知识
  • 科普

太原各校高中录取分数线如何划定 太原市中考分数线

2026-01-15 00:34 17K 1

一、太原各校高中录取分数线如何划定

1、太原市各校高中录取分数线是根据所有孩子题型的难度考试的分数,每个学生报考学校的志愿来定分数线,每个学校的招生人数来划定。

2、三大校的分数每年最高,因为中考是估分报志愿 ,有些学校报的人数多,学校招生计划是有限的,分数就自然高, 报的人数少,分数肯定低!

二、山西2023年中考分数线预测

国家教育改革,中考难度减低,覆盖知识面多,2021年太原市普高分数线440分2022年465分,2023年基本在470分,如果要重点高中的话在570分有可能,几大名牌高中610分有机会。

三、2021年太原市中考科目分值

1、

2021年太原市中考各科总分是730分,其中语文满分120分,数学满分120,英语满分120分,理科综合150分,其中物理满分80分,化学满分70分,文科综合150分,其中政治满分75分,历史满分75分。体育满分50分,物理化学实验操作满分10分,信息考试满分10分。

2、

3、在太原如果想考上山大附中,省实验中学,太原五中这样的三大名校,一般录取分数在690左右,如何实现这样的目标呢?第一,体育,实验,和计算机必须得的满分,这就是70分。第二,语文不能低于110,作文几乎要满分,或者很少丢分。数学不能低于114,除了最后一道压轴题动点问题和填空题最后一道,其他的几乎都要得满分。外语不得低于114,作业必须是书写优美的衡水体,否则很难得满分。第三,物理不能低于75,化学必须要接近满分,这就要求答题一定要严谨规范。第四,政治和历史不能低于67分,这两课选择题必须要全对。满足以上四点,祝贺你,基本就可以考上三大校了。

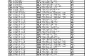
太原市中考分数线

4、

太原市中考分数线

5、

四、2022太原中考分数线算体育分吗

1、算。

2、2022年我省中考取消体育、信息技术和理化试验三门考试后,总分660分。太原市将今年普通高中最低录取控制线定为460分。其中,普通高中招生录取办法和往年相同,普通高中体育、艺术类特长生录取时,考生中考成绩和专业成绩必须达到一定分数线,才可投档。

五、2021年太原市中考录取分数线多少

2021年中考分数线是要等6月22日后中考结束了才能确定的,因为2021年太原的中考工作还没有进行,所以2021年太原中考录取分数线目前还无法确定!

焕章信息网
焕章信息网分享百科知识,百科经验,经验知识,百科问答,科普,中文百科,生活百科,生活小窍门,生活常识,科技百科的百科知识网,为大家提供各类百科知识
推荐阅读
  • 霍格沃兹测试学院官网怎么报名 在霍格沃兹的中国人
  • 7d电影和5D电影有什么区别吗 7d影院加盟
  • 无轴螺旋绞龙输送机产品结构是怎么样的 无轴螺旋输送机
  • 世界足坛地位排名 瑞士世界排名
  • 笑傲江湖吕颂贤任盈盈源计划谁演 笑傲江湖任盈盈
  • 亚洲4x100米接力纪录 2019多哈世锦赛4x100米决赛
  • 世乒赛王曼昱场外指导是谁 2021世乒赛王曼昱女单完整比赛
  • 2022女足世界杯赛程表时间 女足亚洲2022夺冠时间
  • 12款新福克斯车身重量 新福克斯2012款
  • 2024西安跳水世界杯总决赛时间 2023德国柏林跳水世界杯比赛赛程
评论 (1)
取消
  • 焕章信息网

    本文《太原各校高中录取分数线如何划定 太原市中考分数线》希望能帮助到你!

    2026年01月
热门文章
56个民族的歌曲有什么 锡伯族歌曲
103
2020东京奥运会金牌是纯金的吗 东京奥运会射击多少金牌
165
8寸渣浆泵一小时抽多少立方水 渣浆泵厂家
124
艾欧尼亚最强英雄 lol艾欧尼亚
168
2023女排奥运会几月份开始 2023年温州奥运会什么时候开幕
183
我国第一位获得诺贝尔文学奖的,作家是谁 中国第一个诺贝尔
179
逃生告密者和逃生有什么不一样的 逃生:告密者
115
2022冬奥短道速滑中国选手 羽生结弦2022比赛是冠军吗
155
三亚免税店有几个 三亚免税店地址
133
乐刻团购的卡怎么用 团购健身卡
188
文章推荐
荐 描写云南的歌曲有那些 云南民歌有哪些
荐 托福考试,每个人都需要上培训班吗 托福基础培训班
荐 国产手机中有哪几款支持北斗导航 手机支持北斗功能
荐 迪拜是哪个洲的 迪拜是哪里国家
荐 奥特曼编年史 奥特曼55周年纪念日
荐 do re mi歌词英文原唱 doremifasol
荐 广东2023冷空气什么时候来 广东冷空气5日到货
荐 为什么武状元苏乞儿不能看 武状元苏乞儿粤语
荐 乌市北门教育学院有分校吗 新疆教育学院
荐 离别开出花的歌词怎么写 离别开出花歌曲完整版
荐 请问力帆620真如网上说的那么差么谢谢 力帆汽车620
荐 无锡马拉松2024是全马吗 武汉马拉松2024多少公里
荐 设置怎样的充电铃声更好听 充电提示音怎么设置
荐 女生说你想请我吃饭怎么回复 我请你吃饭
Copyright © 2018-2026 焕章信息网. All rights reserved. Designed by 扫地僧站群技术支持. ICP备案号
  • 合肥市分站
  • 泰州市分站
  • 友情链接
  • 扫地僧站群
  • SEO学习网
    • 首页
    • 百科
    • 知识
    • 科普
    • 生活
    • 热点知识
    • 科普